A veces, para lograr la consistencia y la estabilidad de un sistema y para producir la salida deseada de un sistema de control, usamos un ciclo de retroalimentación. Una retroalimentación no es más que una parte de la señal de salida. Este concepto es más frecuente e importante en los sistemas de control, para lograr la estabilidad de la salida. Con base en la conexión de retroalimentación, los sistemas de control se clasifican en dos tipos. Son el sistema de control de bucle abierto y el sistema de control de bucle cerrado.
Contenido
- 1 Sistema de realimentación de bucle cerrado
- 2 Tipos de sistemas de retroalimentación
- 3 Control de par de bucle cerrado
- 4 Control de límite de corriente
- 5 Control de velocidad de ciclo cerrado
- 6 Ventajas del sistema de control de bucle abierto
- 7 Desventajas del sistema de control de bucle cerrado
- 8 Resumen del sistema de comentarios
Sistema de realimentación de bucle cerrado
Un sistema de control con bucle de realimentación se llama sistema de control de circuito cerrado. En otras palabras, el sistema de control que usa su señal de retroalimentación para generar salida se llama » sistema de control de circuito cerrado. En estos sistemas de control, la entrada es controlada por la señal de retroalimentación desde la entrada para que pueda corregir los errores ocurridos. Los sistemas de control de circuito cerrado son sistemas de flujo de señal bidireccional.
Retroalimentación significa que se toma parte de la salida y se conecta a la entrada del sistema para mantener la estabilidad del sistema de control. Al proporcionar un circuito de retroalimentación, podemos convertir cualquier sistema de control de bucle abierto en un sistema de circuito cerrado. El circuito de realimentación proporciona la corrección automática de la señal de entrada en función de los requisitos de salida.
Al comparar la salida generada con la condición real, el sistema de circuito cerrado mantiene y logra la salida deseada. Si la salida producida se desvía de la salida decidida (real), el sistema de control de bucle cerrado genera una señal de error y la señal de error se alimenta a la entrada de la señal.
Así que al agregar la señal de error al entrada, la salida generada del siguiente ciclo será corregida. Entonces estos también se llaman sistemas de control automático. Los sistemas de circuito cerrado son menos propensos a las perturbaciones externas.
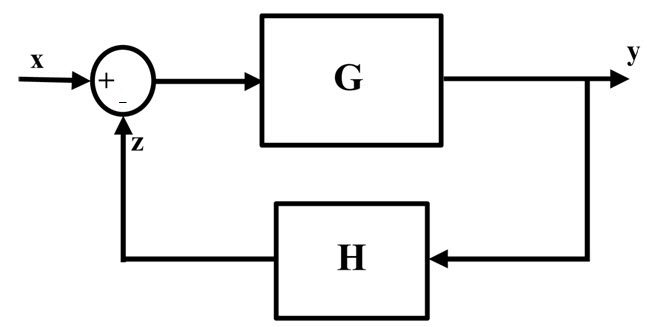
El diagrama de bloques del sistema de circuito cerrado se muestra a continuación.

As estos sistemas contienen circuitos de retroalimentación, los sistemas de control de circuito cerrado también se denominan » Sistemas de control de retroalimentación. Al dar los comentarios a la señal de entrada, podemos controlar con precisión la salida de un sistema de control. Un sistema de control de circuito cerrado puede tener más de un circuito de retroalimentación.
Ejemplos
Utilizamos sistemas de control de bucle cerrado en muchas aplicaciones de nuestra vida cotidiana. Algunos de los sistemas diseñados basados en el concepto de sistemas de control de lazo abierto se dan a continuación.
- Plancha eléctrica automática: dependiendo de la temperatura de los elementos calefactores de hierro, se controlaron automáticamente.
- Estabilizador de voltaje servo-La estabilización de voltaje se logra al alimentar el voltaje de salida al sistema.
- Controlador de nivel de agua: el nivel de agua en los depósitos decide la entrada de agua en él.
- Acondicionador de aire: el acondicionador de aire ajusta automáticamente su temperatura en función de la temperatura ambiente.
- En el regulador de velocidad del motor con tacómetro y/o sensor de corriente, el sensor detecta la velocidad y envía una retroalimentación al sistema para regular su velocidad.
Ejemplo práctico de sistema de retroalimentación
En el mercado vemos algunos secadores de ropa automáticos. ¿Alguien sabe que son un ejemplo de sistema de control de circuito cerrado? En el sistema de control automático o sistema de retroalimentación de circuito cerrado, usamos un transductor en el lado de entrada del sistema para monitorear continuamente la temperatura de la ropa dentro del secador. El diagrama de bloques del secador de ropa eléctrico se muestra a continuación.

El sensor de temperatura controlará el estado de la ropa, ya sean secos o húmedos y compararlo con la referencia de entrada enviada. Si el estado de la ropa y la salida deseada no coinciden (no son similares), entonces el sistema genera una señal de error y la envía de regreso a la entrada.
El amplificador produce la salida amplificada de la señal al controlador, de modo que puede ajustar los elementos de calentamiento al nivel de salida deseado. Entonces, si la ropa está a punto de secarse, entonces el controlador regula y baja la temperatura o detiene el proceso de calentamiento de los elementos de calentamiento hasta el punto de que no queme la ropa en la máquina.
El cerrado El sistema de bucle es capaz de manejar las perturbaciones de ruido externo (que causa la reducción de la eficiencia del sistema) por medio de la señal de retroalimentación. Por ejemplo, si abrimos el secador, se pierde cierta cantidad de temperatura y la temperatura interna del sistema disminuirá.
Luego, el sensor de retroalimentación calculará la temperatura de la ropa y luego enviará la señal de error. al controlador. Para que el controlador establezca la temperatura requerida en el sistema. Este será el proceso de manejo de la ocurrencia de error en el secador de ropa.
La señal de error significa la diferencia entre la salida real y la salida producida y esta señal de error se proporciona como una entrada al controlador para regular el sistema salida. Si la señal de error es cero, solo la entrada deseada es igual a la salida producida.
Tipos de sistemas de retroalimentación
Según la naturaleza de la señal de retroalimentación, los sistemas de control de circuito cerrado son dividido en 2 tipos. Son
- Señal de retroalimentación positiva
- Señal de retroalimentación negativa
1) Señal de retroalimentación positiva
El cerrado sistema de bucle con señal de retroalimentación positiva conectada a su entrada se llama » Sistema de retroalimentación positiva & # 8221 ;. El diagrama de bloques del sistema de retroalimentación positiva se muestra a continuación. Comentarios positivos también conocidos como » Comentarios regenerativos «.

Ejemplo
El mejor ejemplo para el ciclo de retroalimentación positiva en la electrónica es op-amp. Podemos lograr el ciclo de retroalimentación positiva conectando una parte de la tensión de salida a la entrada no inversora mediante un bucle de realimentación, a través de una resistencia.

Si conectamos una señal de voltaje de entrada positiva al puerto no inversor del amplificador operacional, amplifica la señal de entrada y la salida ser más positivo De modo que parte de la salida se conecta nuevamente a la entrada mediante el circuito de retroalimentación para producir un voltaje de salida incluso alto. A medida que el bucle de realimentación se conecta a la entrada, la salida se vuelve más y más positiva. En un punto, la salida del amplificador operacional se saturará.
De manera similar, si suministramos una señal de voltaje de entrada negativa Vin al amplificador operacional, entonces la salida se volverá negativa. El circuito de retroalimentación conectado a la entrada fortalecerá la señal amplificada para volverse más negativa. Esto significa que la señal de retroalimentación en los sistemas de realimentación positiva fortalecerá la naturaleza de la señal de salida.
La función de transferencia del sistema de bucle positivo obtenido será A = V = G/(1-GH). Si GH = 1, la ganancia del sistema será infinito, por lo tanto, el sistema oscilará automáticamente aunque no haya ninguna entrada conectada. En este estado, el sistema actuará como un oscilador.
Los sistemas de realimentación positiva se utilizan para obtener una respuesta de conmutación rápida para una señal de entrada condicional. Un ejemplo más de usar un ciclo de retroalimentación positiva es el efecto de histéresis. Histéresis significa el estado residual de un sistema, aunque no se suministre con ninguna entrada. Observamos tal comportamiento en algunas compuertas lógicas biestables.
La retroalimentación positiva se usa ampliamente en circuitos de temporización y osciladores.
2) Señal de retroalimentación negativa
El sistema de circuito cerrado con señal de retroalimentación negativa conectada a su entrada se llama » Sistema de retroalimentación negativa & # 8221 ;. El diagrama de bloques del sistema de retroalimentación negativa se muestra a continuación. Comentarios negativos también conocidos como » Feedback degenerativo «.

Los sistemas de retroalimentación negativa son más estables y mejoran la estabilidad. Vamos a tener una discusión sobre los sistemas de retroalimentación negativa y sus aplicaciones en otros tutoriales.
Aplicaciones
Los sistemas de control de circuito cerrado se utilizan para controlar la electrónica máquinas tales como generadores de voltaje y corriente. Además de eso, también pueden controlar la velocidad de una maquinaria y otros parámetros de un sistema. Los sistemas de control de circuito cerrado se utilizan para los requisitos indicados a continuación.
- Mejora de la velocidad de respuesta
- En Protección de dispositivos
- Para mejorar la precisión
Control de par de bucle cerrado
La técnica de control de par se utilizará en vehículos que funcionan con batería, como bicicletas y automóviles. Cuando el conductor presiona el acelerador, el par de referencia T es establecido por el conductor. Si el par controlado por el conductor es T *, el par real T seguirá el par controlado.

El sensor de torque colocado en la carga enviará los comentarios sobre la velocidad del motor y ayudará para mantener la velocidad requerida.
Control de límite de corriente
En dispositivos electrónicos, habrá una gran cantidad de flujo de corriente por fallas del sistema y fallas de conexión. Si no controlamos la corriente y si no tomamos algunas medidas precautorias, el dispositivo electrónico dañará y llevará a pérdidas, económica e industrialmente.
Entonces, para limitar la corriente y controlar el flujo de corriente, instanciamos un controlador de límite de corriente en el dispositivo o sistema electrónico. El sensor de corriente controlará continuamente la corriente suministrada al motor.
Cuando el flujo de corriente en el motor excede el nivel de seguridad requerido, el sensor activa el circuito de retroalimentación y cierta cantidad de corriente se alimenta de forma negativa al controlador para restablecer la corriente al límite.

Cuando el flujo de corriente alcanza nuevamente el límite seguro, el circuito de retroalimentación se desactiva.
Control de velocidad de ciclo cerrado
Esto es el circuito de retroalimentación más utilizado para los controladores. Observe el siguiente diagrama, que usa el sensor de corriente y el sensor de velocidad para limitar la velocidad del motor.

En este diagrama del motor de control de velocidad, vemos 2 circuitos de retroalimentación, uno es para monitorear y controlar la corriente y otra es para controlar la velocidad. El circuito interno es para controlar el flujo de corriente, mediante el uso de un sensor de corriente. Limita la corriente o el par del motor a la imit segura. El bucle externo, el sensor de control de velocidad monitorea la velocidad del motor y envía la retroalimentación al controlador, y controla la velocidad en que excede el nivel predefinido.
Ventajas del sistema de control de bucle abierto
-
- Como los sistemas de control de lazo cerrado tienen señal de retroalimentación para controlar la salida, estos son muy precisos y menos propensos a errores.
- Pueden corregir automáticamente los errores mediante la señal de retroalimentación.
- Los sistemas de bucle cerrado son muy precisos.
- El ancho de banda del sistema de bucle abierto es muy grande que el sistema de bucle cerrado.
- Pueden admitir la automatización.
Desventajas del sistema de control de bucle cerrado
- Son muy complejas y complicadas para diseñar.
- Económicamente son más costosos.
- Se requiere un alto mantenimiento.
- Algunas veces la señal de retroalimentación hace que el sistema oscile, lo que dará oscilaciones respuesta.
- Se necesita más tiempo y esfuerzos para diseñar un sistema estable de ciclo cerrado.
Resumen del sistema de comentarios
- Un sistema es la colección de bloques que están conectados entre sí para ejecutar un proceso.
- El sistema de control se define como el grupo de dispositivos que se utilizan para controlar o regular el funcionamiento de otro sistema.
- El control el sistema que usa su señal de retroalimentación para generar salida se llama » sistema de control de circuito cerrado & # 8221 ;. Ejemplos: Plancha eléctrica automática, aire acondicionado, etc.
- Los sistemas de circuito cerrado pueden corregir automáticamente los errores ocurridos en la salida mediante el ciclo de retroalimentación.
- Son más estables que los sistemas de circuito abierto, pero complejo en diseño.
- Según la naturaleza de la señal de retroalimentación, los sistemas de control de circuito cerrado se dividen en 2 tipos. Son
- Señal de retroalimentación positiva
- Señal de retroalimentación negativa
- El sistema de circuito cerrado con señal de retroalimentación positiva conectada a su entrada se llama » Sistema de retroalimentación positiva & # 8221 ;. Ej: un amplificador operacional, con entrada conectada al pin de entrada positivo.
- El sistema de circuito cerrado con señal de realimentación negativa conectada a su entrada se llama » Sistema de retroalimentación negativa & # 8221 ;. Ej: un amplificador operacional, con entrada conectada al pin de entrada positivo.
- El sistema de retroalimentación o el sistema de control de lazo abierto se usa para
- Mejora de la velocidad de respuesta
- En Protección de dispositivos
- Para mejorar la precisión